EURUSD

Publica tus gráficos y comparte tu punto de vista técnico.

Re: Alerta EUR/USD

Notapor elcomepips » 22 Nov 2012, 13:58

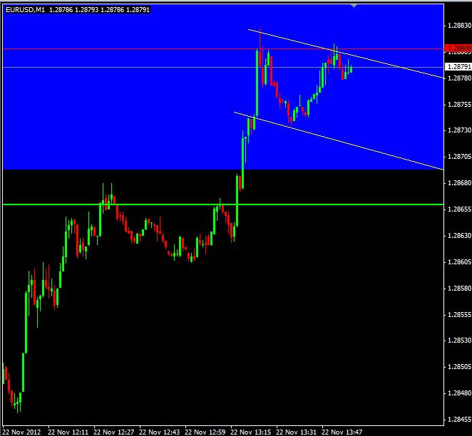
zoom viendo las entrañas... si no supera este canalito por arriba deberiamos ver la zona de 1.2835
Adjuntos
Captura.JPG
elcomepips
 
Mensajes: 297
Registrado: 27 May 2012, 13:23
Karma: 0

EUR/USD

Notapor getmorepips » 22 Ene 2013, 20:39

Hoy a las 17:00 horas habia una conferencia de Dragui pero no se escucha nada acerca de esto .... Tengo vendido eur/usd @1.33707
getmorepips
 
Mensajes: 62
Registrado: 28 Dic 2011, 18:18
Karma: 0

Re: EUR/USD

Notapor BROKERCONTROL » 22 Ene 2013, 23:02

En la página de inicio de Fxstreet ya han colgado algo de información sobre esto, te lo copio literalmente :

El presidente del Banco Central Europeo, Mario Draghi, dijo que las nubes más oscuras se han disipado en un discurso el martes, afirmando que podemos comenzar el 2013 con una mayor confianza.

Por otra parte, Draghi respondió a dos de las principales preocupaciones que tienen los alemanes sobre la política monetaria del BCE, asegurando que no había razón para temer a la inflación y que las políticas del banco reducen los riesgos para el contribuyente alemán. "Simplemente no hay evidencia que pueda justificar los temores sobre cualquier desviación con respecto a la estabilidad de precios".

El presidente del BCE también señaló que muchos países están haciendo " sólido progreso" en las finanzas públicas y que confía en Europa seguirá avanzando.

En cuanto al papel del BCE, Draghi dijo que el banco ha mostrado su compromiso para hacer lo que sea necesario con el fin de salvaguardar el euro.
CON UNA TORTURA ADECUADA LOS GRÁFICOS CONFIESAN TODO LO QUE QUIERAS.
Avatar de Usuario
BROKERCONTROL
 
Mensajes: 1519
Registrado: 22 Ene 2012, 17:31
Ubicación: Valencia
Karma: 5

Re: Alerta EUR/USD

Notapor fonline » 27 Feb 2013, 05:23

he cerrado parte del lotaje, puesto en breakeven el stop para no correr riesgos para ver que pasa.

Como vemos en gráficas de H1 al precio le está costando perforar el soporte formado en la zona psicológica @1,3050.

Podría haber un pullback hacia la zona de 1,3150, que de no quebrarlo retomaría al sur con objetivos @1,3000.
Imagen

Saludos
www.velasforex.com
Avatar de Usuario
fonline
 
Mensajes: 24
Registrado: 28 Abr 2010, 04:06
Ubicación: Argentina
Karma: 0

Re: Alerta EUR/USD

Notapor julian71 » 13 Mar 2013, 19:16

Miren lo que ha pasado hoy en el EURSD,ha sido de manual y muy facil de ver a toro pasado.
Adjuntos
EURUSD.png
julian71
 
Mensajes: 324
Registrado: 04 Nov 2010, 14:55
Karma: 0

Re: Alerta EUR/USD

Notapor daniel2 » 14 Mar 2013, 18:10

Hola
Algun comentario al movimiento luego de que se publicaran los datos de las solicitudes de desempleo? que esperaban? que se fortaleciera aún más el dólar?

Slds
daniel2
 
Mensajes: 28
Registrado: 25 Ago 2009, 21:22
Karma: 0

Re: Alerta EUR/USD

Notapor fonline » 23 Abr 2013, 19:14

EURUSD H4

El par ha quebrado la zona de cuello de la formación HCH, el escenario de mayor probabilidad se torna bajista.
En estos momentos se está desarrollando un pullback, que buscando una confirmación de terminación del mismo se puede aprovechar para entrar en cortos con objetivos en la zona de 1,2800

Imagen


Buen trading para todos


https://twitter.com/velasforex
Avatar de Usuario
fonline
 
Mensajes: 24
Registrado: 28 Abr 2010, 04:06
Ubicación: Argentina
Karma: 0

Re: Alerta EUR/USD

Notapor BartRoberts » 24 Abr 2013, 02:52

Hola fonline, hola a todos

yo lo veo un poco diferente

normalmente no suelo hacer nada con este par solo lo uso de indicador, pero... esta vez quizas tenga un pequeño largo...

lineas como la blanca que he puesto me funcionan para compras muy muy muy bien, suelen ser muy robustas y por su inclinacion, tiene la forma de lanzadera total... es decir de un retroceso para seguir subiendo

cuidado tambien con que Napolitano tiene los apoyos suficientes para designar a un PM en italia, lo mas seguro en las proximas horas. Por lo que de momento con la tipica euforia eurista deberia subir el par.

No veo ningun SL fiable para cortos por lo que no veo ningun corto... si termino de dibujar la cuña, misma que seria alcista, seria uno pero creo que seria facilmente violado tanto por la forma de la cuña como por la designacion de un PM italiano.

Veremos a ver...



ACTUALIZACION: cerre mi long apenas con +20, la reaccion del mercado ante la designacion de Letta para formar gobierno en Italia fue algo como: pseeeee xD
saludos
Adjuntos
eurusd it.png
eurusd en 4hrs
I'm the operator with my pocket indicator

Imagen
Avatar de Usuario
BartRoberts
 
Mensajes: 1229
Registrado: 07 Oct 2012, 08:06
Ubicación: Tortuga
Karma: 27

AnteriorSiguiente

Volver a Análisis Técnico

¿Quién está conectado?

Usuarios navegando por este Foro: No hay usuarios registrados visitando el Foro y 0 invitados

cron