INDICADOR FOREX GOILER

Comparte y comenta tus estrategias de trading.

Re: INDICADOR FOREX GOILER

Notapor TradexFol » 27 Jul 2012, 23:25

Buenas.
Aqui en España. Horario de Verano GTM+2 Horario de Invierno GTM+1

Busca GTM en google, el pais en donde este tu broker.
Saludos.
TradexFol
 
Mensajes: 90
Registrado: 14 Ene 2011, 01:54
Karma: 0

Re: INDICADOR FOREX GOILER

Notapor Urano » 28 Jul 2012, 00:06

TradexFol escribió:Buenas.
Aqui en España. Horario de Verano GTM+2 Horario de Invierno GTM+1

Busca GTM en google, el pais en donde este tu broker.
Saludos.


Mi broker en activtrades GMT -2, pero eso ya no es relevante, de nuevo trato de explicar (ya lo intente en varios post anteriores) lo importante aca es que el autor lanza su señal al inicio del dia 00 GMT que es cuando se inicia el mercado de Sydney (hora Sydney GMT +10), osea debemos ajustar el GMT para cuando Sydney abra (osea cuando empiece el "dia" o ciclio del mercado forex- sin importar que hora GMT sea) , si Sydner modifica su horario de apertura entonces el precio de referencia seria otro.

Lo mismo es cuando un EA trabaja en la apertura de Londres, debemos cambiar el EA para que justamente coincida la hora con la apertura, sea el GMT que sea (por supuesto que lo tomamos como referencia para ajustar la hora!), si a Londres de le ocurre abrir a las 10 pm de su hora local (estoy exagerando pues) debemos ajustar el EA para que su hora coincida con la apertura de Londres.

Bueno ya no los complico mas xD. Finalmente, creo que el Goiler tiene buena pinta, que probablemente su esperanza sea negativa por la razon TP y SL, por ahi alguien hizo un EA con el goiler y le resulta casi el 200% de utilidad en lo que va del año. Solo queria sacarme la duda de la hora de lanzamiento de señal para poder testearlo adecuadamente.

Gracias por las respuestas.

Saludos cordiales.
Urano
 
Mensajes: 692
Registrado: 06 Dic 2011, 22:13
Karma: 4

Re: INDICADOR FOREX GOILER

Notapor TradexFol » 29 Jul 2012, 23:51

Pienso y digo. El EA ya debe tener la hora de apertura programada. Es por eso que te pide el GTM como referencia.
Un saludo.
TradexFol
 
Mensajes: 90
Registrado: 14 Ene 2011, 01:54
Karma: 0

Re: INDICADOR FOREX GOILER

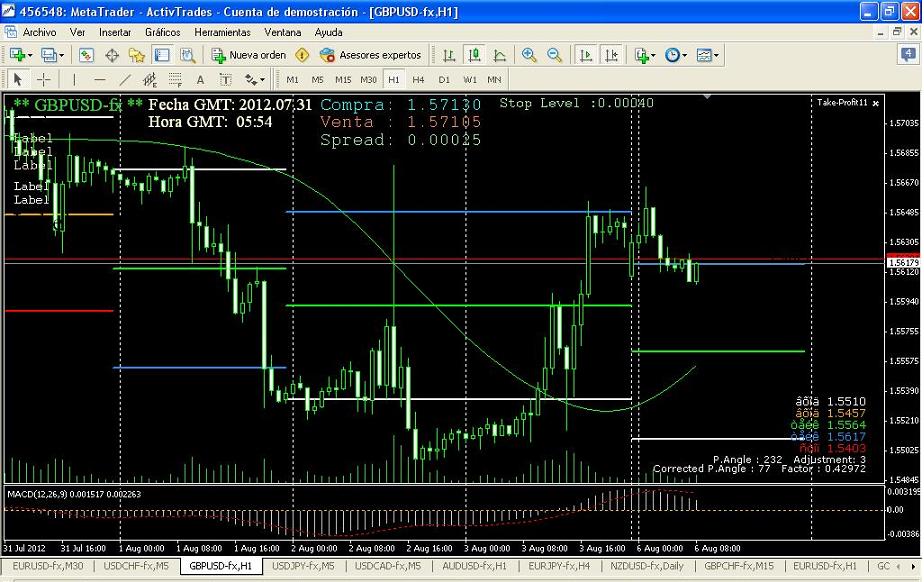
Notapor Urano » 06 Ago 2012, 10:06

El Goiler me da hoy una entrada (la linea blanca) muy alejada de la apertura en GBP/USD, es la primera vez que veo esto, a alguien le ocurre lo mismo?
Adjuntos
Goiler muy lejos del precio.JPG
Urano
 
Mensajes: 692
Registrado: 06 Dic 2011, 22:13
Karma: 4

Re: INDICADOR FOREX GOILER

Notapor TradexFol » 06 Ago 2012, 18:43

En 1.56348 aprox.
Curiosamente en GBPUSD indicaba Short, y en EURUSD indicaba LONG:
A día de hoy a cumplido con los dos en el primer TP1.
Saludos.

LLevo 6 días testando en EURUSD y esta acertando la prediccion.
TradexFol
 
Mensajes: 90
Registrado: 14 Ene 2011, 01:54
Karma: 0

Re: INDICADOR FOREX GOILER

Notapor juanmazz » 06 Ago 2012, 23:15

LuisG escribió:El Goiler me da hoy una entrada (la linea blanca) muy alejada de la apertura en GBP/USD, es la primera vez que veo esto, a alguien le ocurre lo mismo?


Hola Luis G

El goiler a veces muestra, como tu lo dices, la linea blanca lejos de la apertura real.
Suele pasar esto cuando iniciamos el equipo o el mt4 después de la hora de apertura, es decir, si la apertura es a las 00, y prendemos el compu a las 08, entonces nos da la linea blanca a las 08.
Simplemente con cambiar la hora de la gráfica el goiler actualiza las lineas y te muestra la blanca en 00.

Ten en cuenta siempre actualizar la gráfica antes de abrir cualquier operación. Muchas veces este defecto muestra ventas cuando en realidad son compras o lo contrario.

Exitos.
juanmazz
 
Mensajes: 25
Registrado: 25 Ago 2009, 22:21
Karma: 0

Re: INDICADOR FOREX GOILER

Notapor chamorro » 12 Ago 2012, 15:01

PiTERMAN escribió:
LuisG escribió:En los graficos que presentas hay discrepancia en el monto acumulado de inicio y fin de cada mes. Puedes solucionarlo? Gracias.

pues yo no veo ningun problema en las imagenes, pero creo q podria ser q tienes ajustada la resolucion de la pantalla inferior a 1280x768 pixeles.
Para ver la imagen completas puedes tambien enclicar con boton derecho de tu raton y elegir "Ver imagen".
Y si tampoco lo puedes ver bien, aqui te dejo esos 2 enlaces ;)
http://img818.imageshack.us/img818/1783 ... 72012a.png
http://img706.imageshack.us/img706/2221 ... 72012b.png

LuisG escribió:Por otro lado queria preguntar ¿a que hora GMT activaria la señal este indicador para meter la orden pendiente? y cuanto tiempo tendremos abierta una orden pendiente?

Gracias nuevamente

yo uso broker GMT+3. Las ordenes pendientes son validas solo para el mismo dia cuando se dio la senal (entonces maximo 24horas). Yo las elimimo siempre al final de dia o cuando la orden directa llega a TP1. Si el precio activa la orden pendiente, la tengo abierta hasta que este cerrada x TP1 o SL ...asi de simple ;)



Hola Piterman,

He estado testeando el forex goiler y me parece un gran indicador, y realmente tiene una gran numero de aciertos en el tp1, lo único que cuando toca el stop es el doble de pips que cuando se gana, aun asi es un sistema ganador, ¿tienes alguna manera o filtro para minímizar las perdidas o maximizar las ganancias?.

Gracias y un saludo.
chamorro
 
Mensajes: 40
Registrado: 12 Ago 2012, 14:47
Karma: 0

Re: INDICADOR FOREX GOILER

Notapor PiTERMAN » 12 Ago 2012, 17:08

Muy buenas chamorro. Tienes razon, el problema llega cuanto el precio toca a SL. No se si te fijatse, pero no es solo x doble de pips q arriesgamos contra q vamos a ganar en TP1, es xq cuantro el precio va contra nosotros entramos con otra orden (pendiente) en Entry2, entoces estamos aumentando el riesgo aun mas ...entiendes lo q te quiero decir? No se si me he explicado bien.
Entonces cuando perdemos, tenemos q hacer sobre unas 4 nuevas operaciones ganadoras para recuperar la perdida :(
Ahora estoy muy liado y lamentablmente no he podido avanzar con el goiler, pero sin algun filtro va genial x ahora ;) Imaginate si le encontrariamos algun filtro, pues ya seria la leche :)

Imagen
http://img542.imageshack.us/img542/1778 ... 082012.png
Avatar de Usuario
PiTERMAN
 
Mensajes: 84
Registrado: 05 Feb 2011, 12:17
Ubicación: Canary Islands
Karma: 0

AnteriorSiguiente

Volver a Estrategias de Trading

¿Quién está conectado?

Usuarios navegando por este Foro: No hay usuarios registrados visitando el Foro y 0 invitados

cron